L'area del rombo parte 3 su 5
| data di oggi: |
La bella geometria
![]() |
|
rombo |
Ricordiamo che la superficie è la parte di sopra che ricopre un rombo, cioè tutta la parte interna del rombo. La misura della superficie è detta area e si abbrevia con la lettera A maiuscola.
![]() |
|
area rombo = area 4 triangoli rettangoli |
Un rombo lo possiamo considerare come formato da quattro triangoli rettangoli tutti uguali, cioè tutti congruenti e quindi tutti aventi la stessa area.
|
|
|
|
I due cateti di ogni triangolo rettangolo sono uguali a metà di ogni diagonale del rombo. Per cui se considero come base b del triangolo la metà della diagonale orizzontale del rombo e come altezza del triangolo h la metà della diagonale verticale del rombo, mi posso calcolare l'area del triangolo rettangolo con la formula:

Poi moltiplico per 4 l'area di un triangolo rettangolo ed ottengo l'area del rombo.

In definitiva l'area del rombo la calcolo con la formula:

cioè il prodotto delle due diagonali diviso 2.
Esempio
Un rombo ha le due diagonali lunghe rispettivamente 48 cm e 36 cm.
Calcolare l'area del rombo.
Svolgimento
Ricordando la formula:

andiamo a sostituire ed otteniamo:

Risposta
L'area del rombo misura 864 cm2
Controlliamo con la rombocalcolatrice:
http://www.scuolaelettrica.it/php/risolutore/rombo.php?funzione=arearodiagonali(48,36,cm,ABCD
Esempio
Un rombo ha l'area di 864 cm2, calcolare la dimensione della diagonale verticale sapendo che quella orizzontale è di 36 cm.
Svolgimento
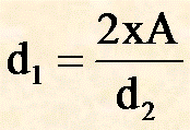
Ricordando la formula:

mi ricavo la formula inversa:

In definitiva:

cioè per calcolare una diagonale moltiplico l'area del rombo per 2 e divido per l'altra diagonale. Quindi se voglio calcolare d2 ottengo:

Quindi mettiamo i valori nella formula:

ed otteniamo:

Risposta
La diagonale verticale del rombo misura 48 cm.
Controlliamo con la rombocalcolatrice:
http://www.scuolaelettrica.it/php/risolutore/rombo.php?funzione=diagonaliroareauna(684,36,cm²,ABCD
Possiamo costruire un programma in javascript che calcola l'area del rombo sapendo le due diagonali; basta semplicemente passare i valori esatti alla pagina di Scuola Elettrica, seguendo le istruzioni riportate alla pagina:
http://www.scuolaelettrica.it/php/risolutore/rombo.php
Modulo da costruire
Un altro modo è quello di usare la rombo calcolatrice.
Scrivi la password
prof. Pietro De Paolis
Corso di matematica per scuola media
|
|
Indice di tutte le pagine del sito